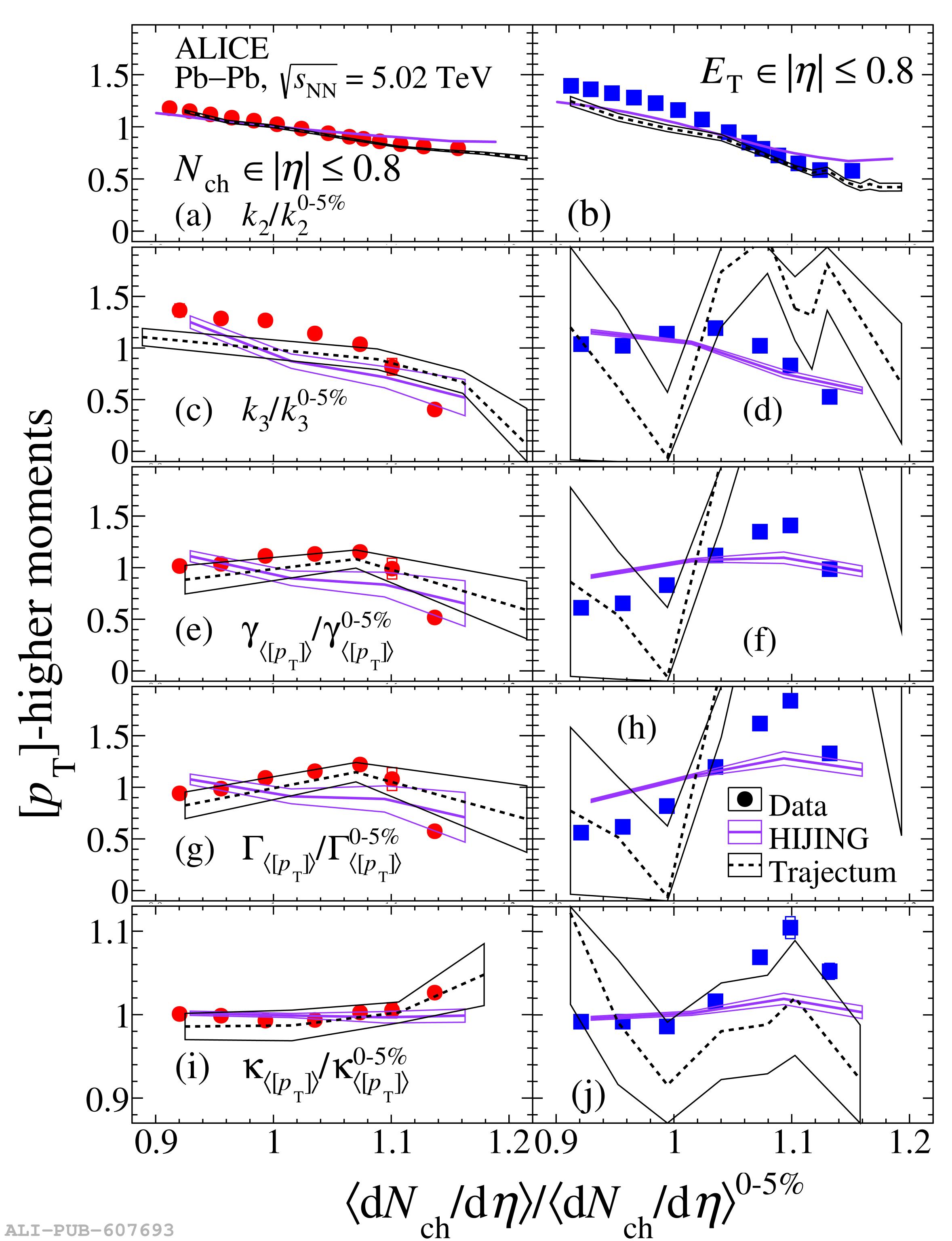
Ultrarelativistic heavy-ion collisions produce a state of hot and dense strongly interacting QCD matter called quark--gluon plasma (QGP). On an event-by-event basis, the volume of the QGP in ultracentral collisions is mostly constant, while its total entropy can vary significantly due to quantum fluctuations, leading to variations in the temperature of the system. Exploiting this unique feature of ultracentral collisions allows for the interpretation of the correlation of the mean transverse momentum of produced charged hadrons and the number of charged hadrons as a measure for the speed of sound. It is determined by fitting the relative increase in transverse momentum with respect to the relative change in the average charged-particle density measured at midrapidity. This study reports the event-average transverse momentum of charged particles as well as the self-normalized variance, skewness, and kurtosis of the event-by-event transverse momentum distribution in ultracentral Pb-Pb collisions at a center-of-mass energy of 5.02 TeV per nucleon pair using the ALICE detector. Different centrality estimators based on charged-particle multiplicity or the transverse energy of the event are used to select ultracentral collisions. By ensuring a pseudorapidity gap between the region used to define the centrality and the region used to perform the measurement, the influence of biases on the rise of the mean transverse momentum is tested. The measured values are found to strongly depend on the exploited centrality estimator. The variance shows a steep decrease towards ultracentral collisions, while the skewness variables show a maximum, followed by a fast decrease. These non-Gaussian features are understood in terms of the vanishing of the impact-parameter fluctuations contributing to the event-to-event transverse momentum distribution.
JHEP 11 (2025) 076
HEP Data
e-Print: arXiv:2506.10394 | PDF | inSPIRE
CERN-EP-2025-126
Figure group









