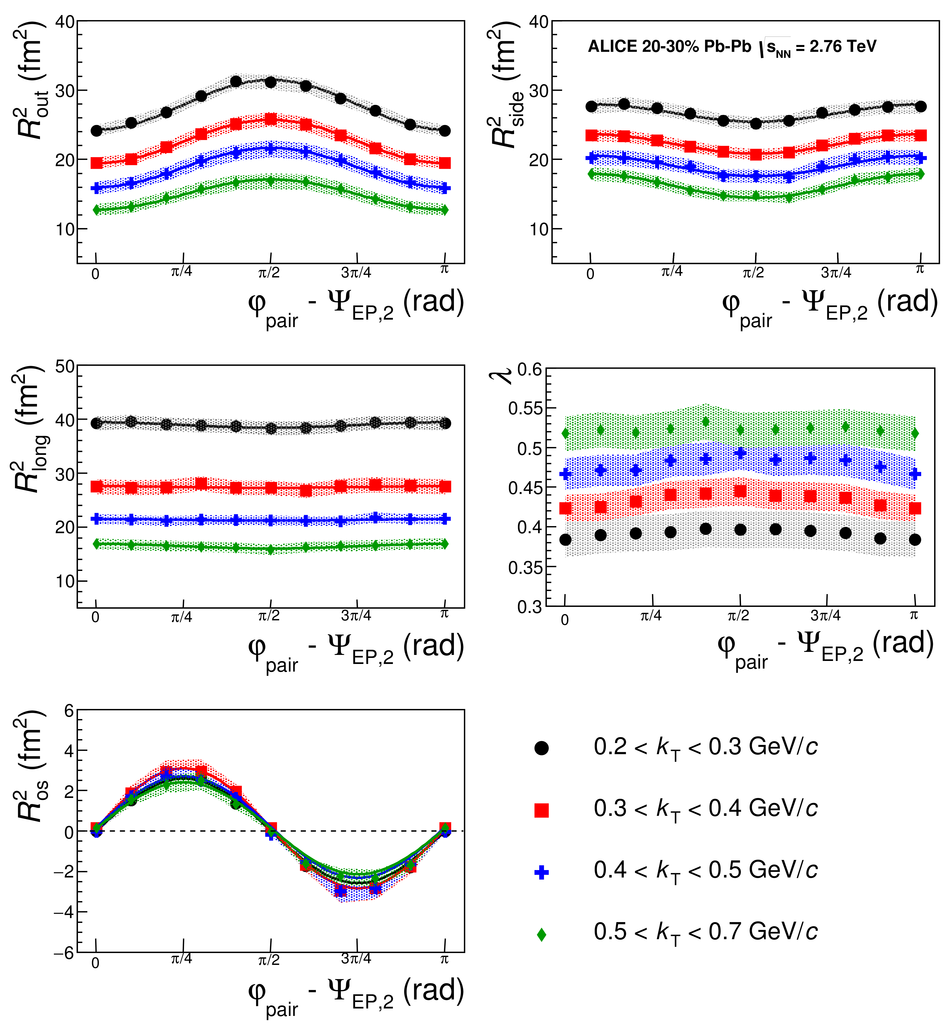
The azimuthal dependence of $R^{2}_{\rm out}$, $R^{2}_{\rm side}$, $R^{2}_{\rm long}$, $R^{2}_{\rm os}$, and $\lambda$ as a function of $\Delta\varphi=\rm{\varphi_{pair}}-\Psi_{EP,2}$ for the centrality 20-30% and $k_{\rm T}$ ranges 0.2-0.3, 0.3-0.4, 0.4-0.5, and 0.5-0.7 GeV/$c$. Bands indicate the systematic errors. The results are not corrected for the event plane resolution of about 85-95%. |  |