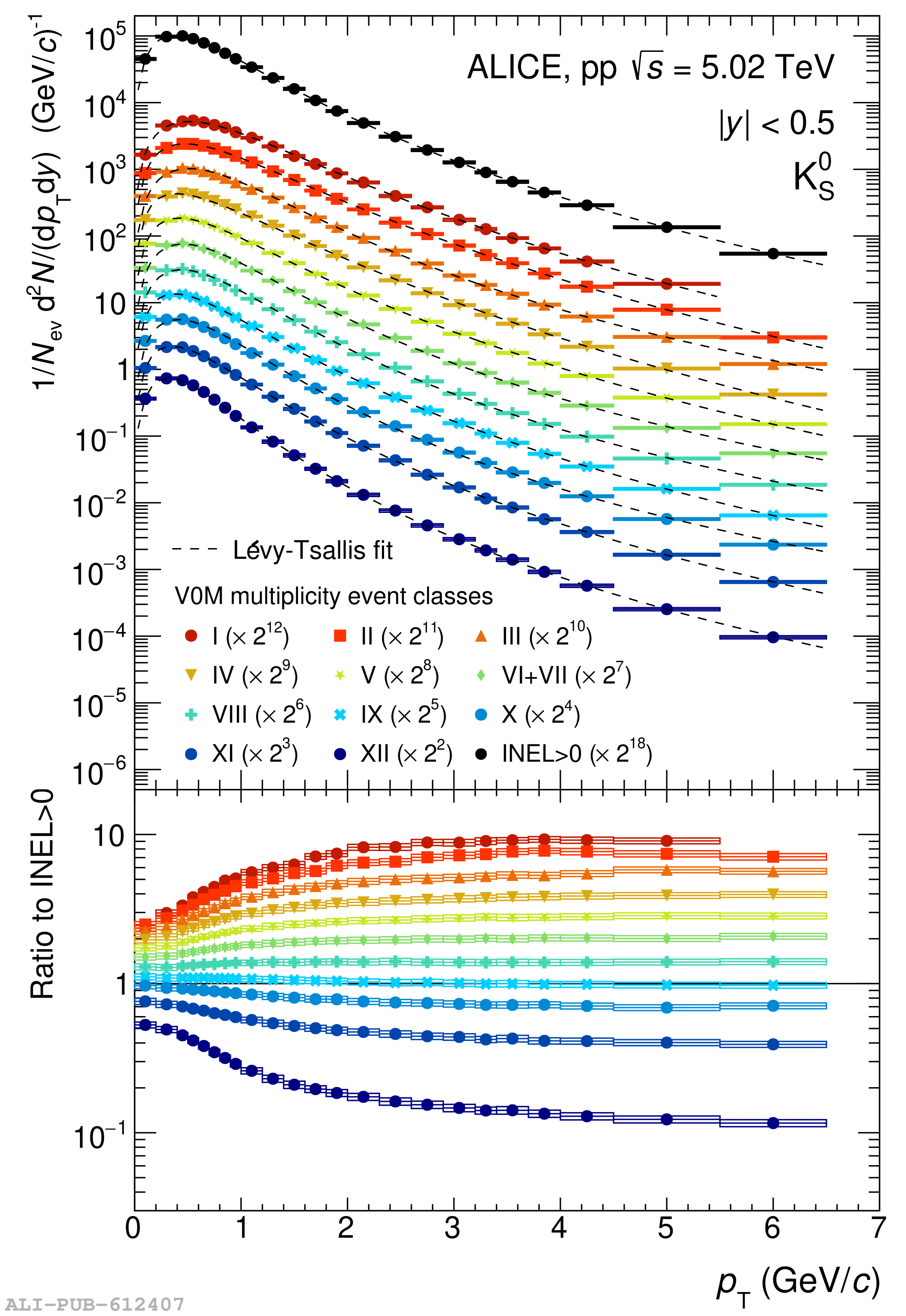
(Multi-)strange particle production rates and transverse momentum distributions are measured at midrapidity ($|y| <~ 0.5$) as a function of the charged-particle multiplicity density by the ALICE experiment at the LHC, using proton-proton collisions at a center-of-mass energy of ${\bf \sqrt{s}~=~5.02}$~TeV. This study extends similar studies performed at ${\bf \sqrt{s}~=~7}$~TeV and ${\bf \sqrt{s}~=~13}$~TeV to a lower energy regime, improving the statistical precision and extending the measurement to previously unexplored low-multiplicity regions. While $K_S^0$, $Λ$, and $Ξ$ yields can be described with a linear multiplicity dependence within uncertainties, the $Ω$ yields follow a significantly faster than linear increasing trend. For all analyzed particles, the overall production rate is consistent with those observed at higher energy and at similar multiplicity densities. Transverse momentum distributions are observed to evolve with multiplicity. Several state-of-the-art QCD-inspired Monte Carlo models have been compared to the data, testing some recently introduced features to address the findings at higher energies. Models can qualitatively describe the transverse momentum spectra and the $Λ/K_S^0$ spectral ratio only if collectivity is introduced in the evolution of the system.
Submitted to: PRC
e-Print: arXiv:2511.10306 | PDF | inSPIRE
CERN-EP-2025-256
Figure group





















