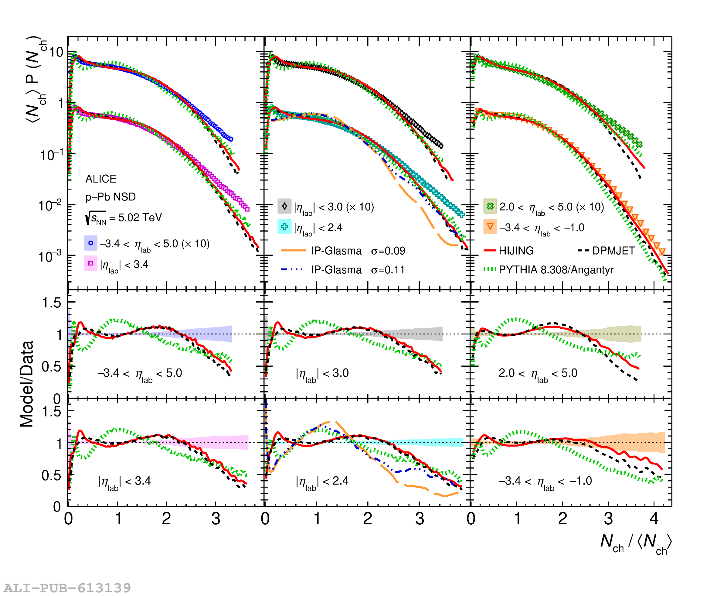
This paper presents the primary charged-particle multiplicity distributions in proton-lead collisions at a centre-of-mass energy per nucleon-nucleon collision of $\sqrt{s_{\rm NN}} = 5.02$ TeV. The distributions are reported for non-single diffractive collisions in different pseudorapidity ranges. The measurements are performed using the combined information from the Silicon Pixel Detector and the Forward Multiplicity Detector of ALICE. The multiplicity distributions are parametrised with a double negative binomial distribution function which provides satisfactory descriptions of the distributions for all the studied pseudorapidity intervals. The data are compared to models and analysed quantitatively, evaluating the first four moments (mean, standard deviation, skewness, and kurtosis). The shape evolution of the measured multiplicity distributions is studied in terms of KNO variables and it is found that none of the considered models reproduces the measurements. This paper also reports on the average charged-particle multiplicity, normalised by the average number of participating nucleon pairs, as a function of the collision energy. The multiplicity results are then compared to measurements made in proton-proton and nucleus-nucleus collisions across a wide range of collision energies.
Eur. Phys. J. C 85 (2025) 8, 919
HEP Data
e-Print: arXiv:2502.18081 | PDF | inSPIRE
CERN-EP-2025-023
Figure group





