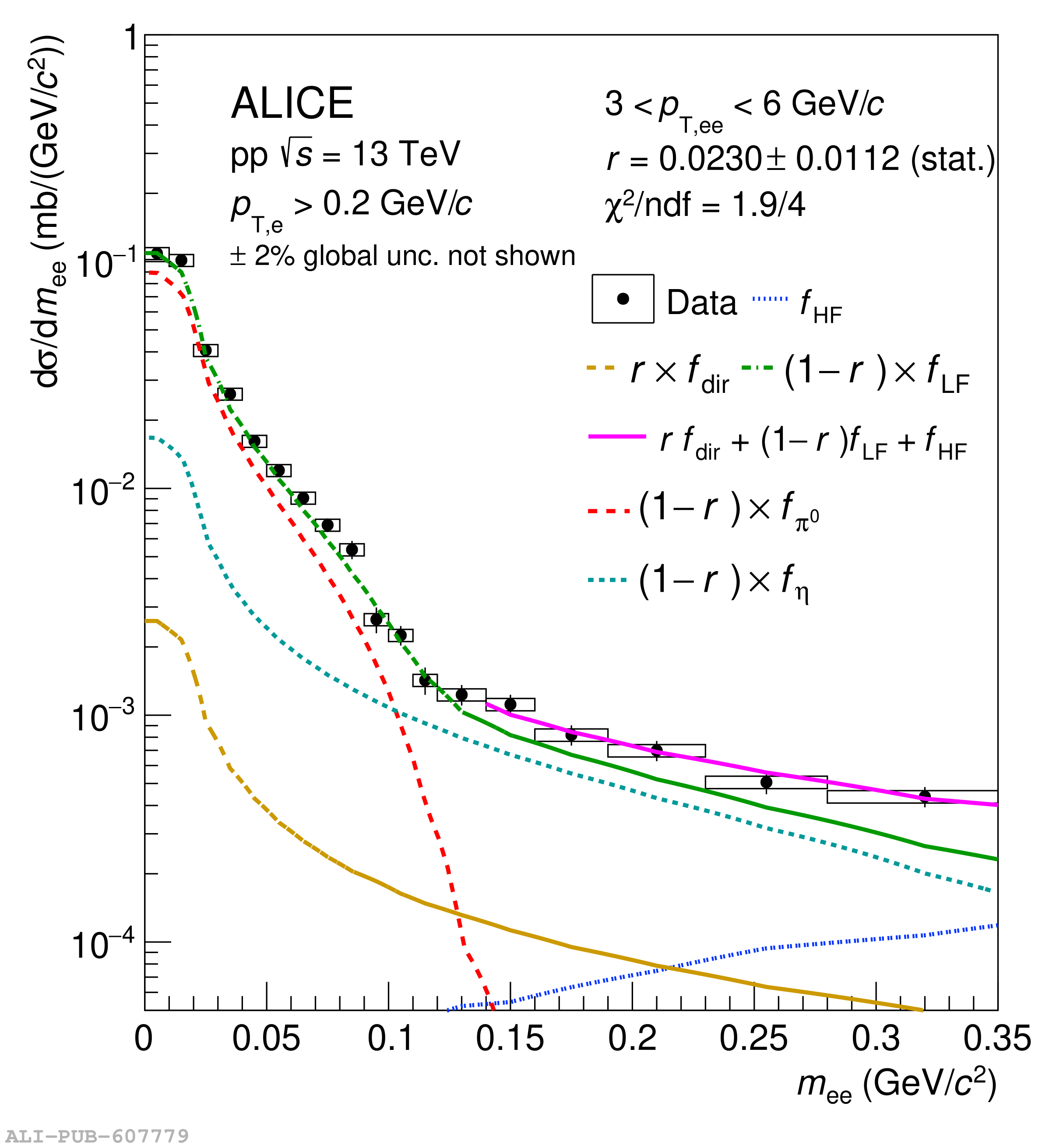
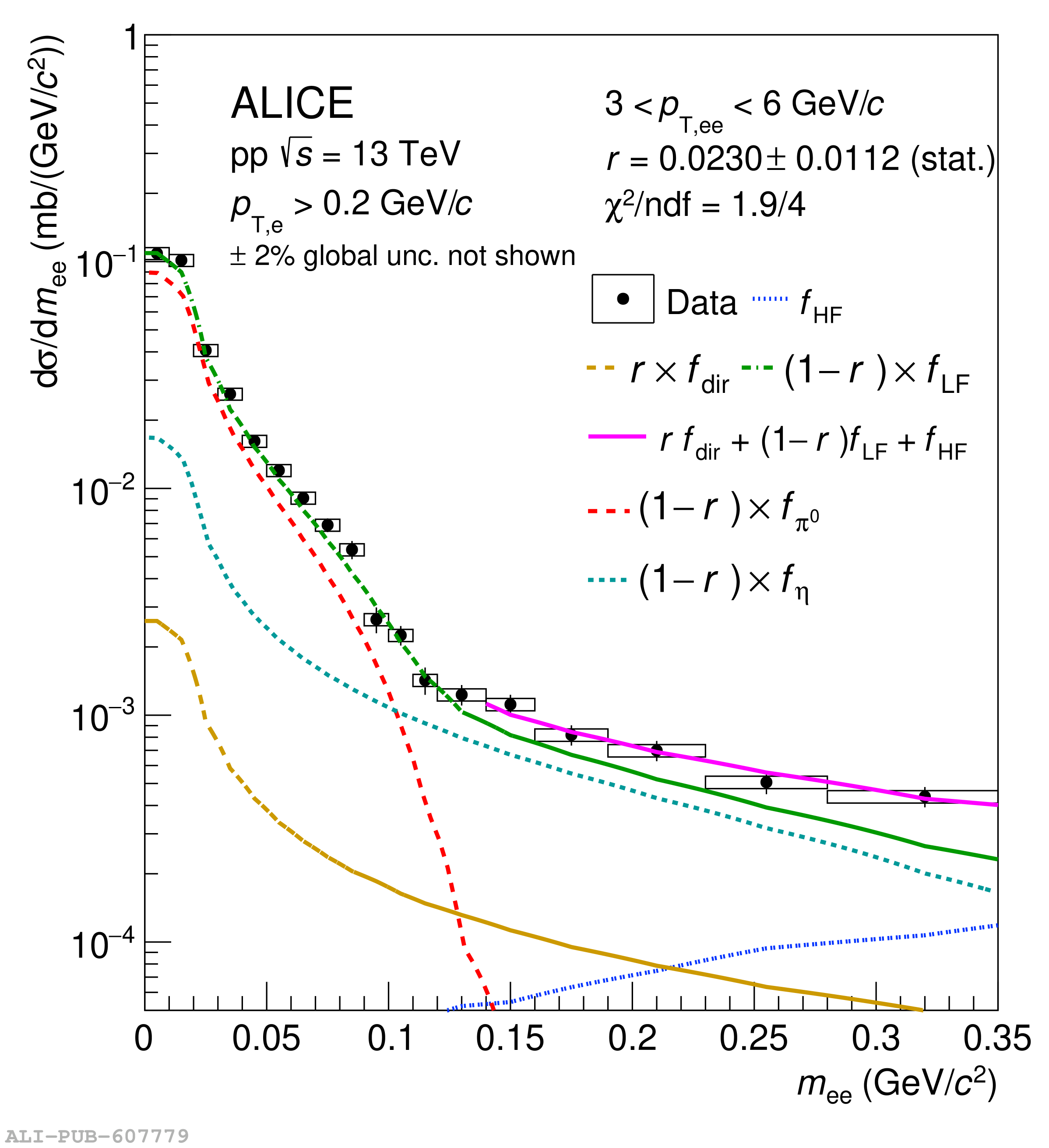
In this letter, we present the first measurement of direct photons at the transverse momentum of $ 1 <~ p_{\rm T} <~ 6$ GeV/$c$ at midrapidity $|\eta| <~ 0.8$ in inelastic and high-multiplicity proton--proton collisions at a centre-of-mass energy of $\sqrt{s} =$ 13 TeV. The fraction of virtual direct photons in the inclusive virtual photon spectrum is obtained from a fit to the dielectron invariant mass spectrum. In the limit of zero invariant mass, this fraction is equal to the relative contribution of real direct photons in the inclusive real photon spectrum. Contributions from decays of light-flavour neutral mesons are estimated using independent measurements in proton-proton collisions at the same energy and the same event class. For the first time at the LHC energies, a direct-photon signal is observed at low $p_{\rm T}$ in both inelastic and high-multiplicity event classes, with a significance of 3.2$\sigma$ and 1.9$\sigma$ in terms of standard deviations, correspondingly. The yield of direct photons in inelastic pp collisions is compared to perturbative QCD calculations. The integrated photon yield is studied as a function of charged-particle multiplicity and is compared to the results from other experiments and theoretical calculations. The results show a significant increase of direct-photon yield with charged-particle multiplicity.
Phys. Lett. B 868 (2025) 139645
HEP Data
e-Print: arXiv:2411.14366 | PDF | inSPIRE
CERN-EP-2024-295
Figure group










