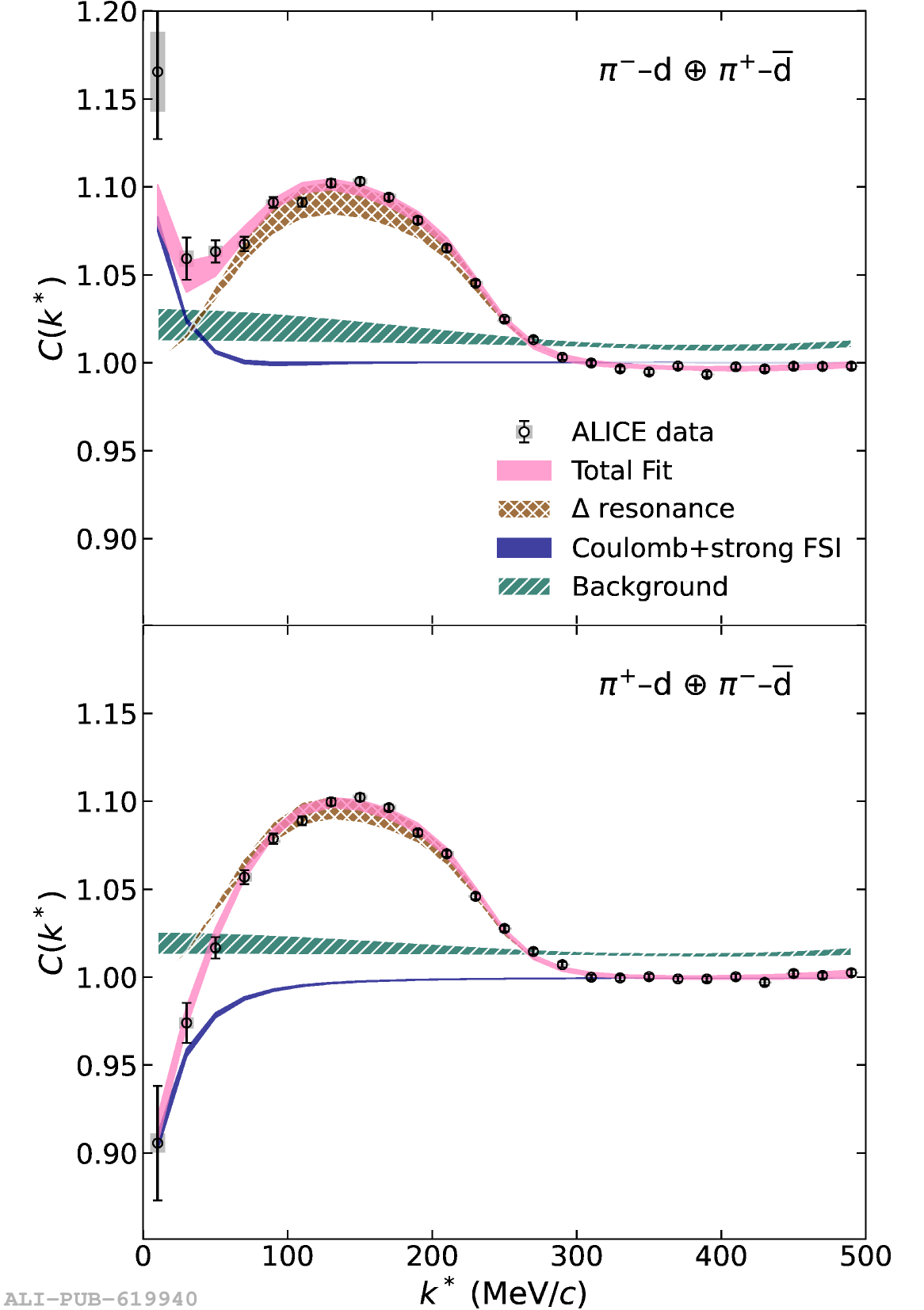
The formation of light (anti)nuclei with mass number A of a few units (e.g., d, $^3$He, and $^4$He) in high-energy hadronic collisions presents a longstanding mystery in nuclear physics [1,2]. It is not clear how nuclei bound by a few MeV can emerge in environments characterized by temperatures above 100 MeV [3-5], about 100,000 times hotter than the center of the Sun. Despite extensive studies, this question remained unanswered. The ALICE Collaboration now addresses it with a novel approach using deuteron-pion momentum correlations in proton-proton (pp) collisions at the Large Hadron Collider (LHC). Our results provide model-independent evidence that about 80% of the observed (anti)deuterons are produced in nuclear fusion reactions [6] following the decay of short-lived resonances, such as the $\Delta (1232)$. These findings resolve a crucial gap in our understanding of nucleosynthesis in hadronic collisions. Beyond answering the fundamental question on how nuclei are formed in hadronic collisions, the results can be employed in the modeling of the production of light and heavy nuclei in cosmic rays [7] and dark matter decays [8,9].
Nature 648, 306–311 (2025)
HEP Data
e-Print: arXiv:2504.02393 | PDF | inSPIRE
CERN-EP-2025-081
Figure group



