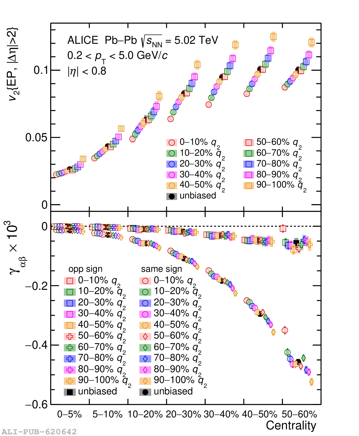
The latest experimental studies related to the search for the Chiral Magnetic Effect (CME) in Pb-Pb collisions at $\sqrt{s_{\rm NN}} = 5.02$ TeV recorded with the ALICE detector at the Large Hadron Collider (LHC) are presented. Charge-dependent two-particle correlations relative to the reaction plane are measured for charged particles in the pseudorapidity range $|η| <~ 0.8$ and the transverse-momentum range $0.2 <~ p_{\rm T} <~ 5$ GeV/$c$. Two approaches have been employed: in the first method, the contribution of the background to the measurement is varied using the event shape engineering (ESE), while the second relies on changing the contribution of the potential CME signal by measuring azimuthal correlations relative to the participant plane, where the background contributions are maximized, and spectator plane, where the CME signal contribution is maximized. Both methods yield results consistent with the absence of a CME signal within the measurement uncertainties. The result obtained from correlations relative to different symmetry planes, a technique applied for the first time at LHC energies, gives the possibility to test independently and confirm the upper limits from previous measurements, while the new limit from the ESE analysis offers improved constraint relative to previous attempts.
Submitted to: PLB
e-Print: arXiv:2602.22900 | PDF | inSPIRE
CERN-EP-2026-035
Figure group






